1. 서론
2. 재료 및 방법
2.1 새만금 해역 김 생산 장기간 변동 현황
2.2 새만금 해역 및 유역 수질환경 현황 및 수질환경 요소 장기 변동 분석
3. 결과
3.1 새만금 해역 김 생산성 장기간 변동분석
3.2 새만금 해역 수질환경 항목별 평균(표층 기준) 결과 산출
3.3 새만금 해역 수질환경 장기 변동 추세
3.4 새만금 해역 2015년 김 생산성 감소 원인 분석을 위한 수질 환경 특성 분석
4. 고찰
4.1 새만금 해역 장기 모니터링을 통한 수질 환경 변동 특성과 원인 분석
4.2 새만금 해역 김 생산성 변동 원인 분석
5. 결론
1. 서론
우리나라 서해 중부에 위치하는 새만금 해역은 행정구역을 기준으로 전북특별자치도 군산시, 김제시, 부안군, 고창군 등 4개 지방자치단체의 서측 바다 지역으로 경계를 이루고 있으며, 지리적 분포는 총 538.5 km의 해안선과 총 102개의 도서가 새만금 해역에 속한다고 할 수 있다. 새만금 방조제의 건설은 1991년 11월 착공되어 2010년 4월 준공되었는데, 새만금 방조제의 운영은 향후 가장 중요한 새만금 해역 해양환경 변동 원인 중 하나이다.
우리나라의 김양식은 전남이 전국 생산량의 많은 부분을 차지하지만, 전북과 충남이 그 뒤를 잇고 있다(Ma 2000). 하지만 김 양식 어장의 무질서한 이용으로 질병의 발생, 품질 저하, 계획 생산의 차질을 초래하고 시비제 등의 오·남용으로 인한 환경오염에 대한 문제가 지속적으로 발생하고 있다(Ma 2000). 이중 김의 황백화(chlorosis)는 엽체가 황색 또는 백색으로 변하는 현상으로, 엽체의 색이 탈색되고 현미경 관찰 시 액포가 비대하게 되는 것으로 확인되며 양식장에서 이런 상태가 지속적으로 유지되면 결국 김 엽체가 부착 기질로부터 탈락되거나 사멸되는 현상이다(NFRDI 2015). 이러한 김 황백화는 일본에서 2000년대에 큰 규모로 발생하여 양식 김 생산에 엄청난 피해를 주었다고 보고된 바 있다(Matsuoka et al. 2005; Hori et al. 2008; Ishii et al. 2008; Kawamura 2012; Tanda and Harada 2012, 2013). 현재까지 알려진 일본 연안의 양식 김에 대한 황백화는 용존무기질소(Dissolved Inorganic Nitrogen, DIN)와 용존무기인(Dissolved Inorganic Phosphorus, DIP) 부족이 원인인 것으로 보고되고 있다(Hori et al. 2008; Ishii et al. 2008; Kawamura 2012; Tanda and Harada 2012, 2013). 이러한 영양염 부족의 원인으로는 육상에서의 공급 부족, 식물플랑크톤과의 영양염 경쟁, 수층 혼합 약화, 과밀 양식 등이 제시되고 있으나 아직도 정확한 원인은 밝혀지지 않고 있다. 김 황백화가 발생하면, 정상적인 물김에 비해 가격이 1/2–1/4로 하락하므로 김을 양식하는 어업인에게 커다란 경제적 피해를 줄 수 있다. 우리나라에서는 2010–2011년에는 서해 중부부터 서해 남부에 이르는 해역의 약 1,500 ha에서 김 황백화가 발생하여 약 278억 원의 피해가 발생하였다(Shim et al. 2014; NFRDI 2015). 국내에서도 역시 김 양식장에서의 영양염 감소가 김 황백화의 발생 원인으로 추정하고 있어서 이에 양식 어장의 환경 변화에 대해 지속적인 모니터링이 수행되었지만(NIFS 2017), 황백화를 일으키는 급격한 영양염 감소 원인에 대해서는 아직도 확실하게 규명되지 않고 있다(Lee et al. 2019). 또한 2022년 해남군에서 발생한 김 황백화는 식물성 플랑크톤의 대발생으로 영양염 고갈 및 지속이 원인인 국내 첫 사례로 알려져 있다(NIFS 2024).
따라서 본 연구는 새만금 해역에서 장기간의 김 생산성과 관련된 자료들을 획득하고 분석하여, 다양한 개발사업으로 대규모 환경 변화가 예상되어 관련 수산업에 직·간접적인 영향을 지속적으로 받을 것으로 예상되는 새만금 해역의 장기적 수질환경 변동과 김 생산성 변화의 상관관계를 분석하여, 수질환경 변화가 김 생산성에 미치는 영향을 구명하는 것을 목적으로 수행되었다.
2. 재료 및 방법
2.1 새만금 해역 김 생산 장기간 변동 현황
새만금 해역에서 생산되는 1995년부터 2019년까지의 양식 김과 관련된 자료는 전북특별자치도 수산정책과에 자료를 의뢰하여 취득한 연도별 김 생산 동향 분석표를 활용하였다. 본 자료에는 김 양식 면허 건수, 면적, 시설책수 등의 현황자료와 연도별 김 단가, 생산량 등의 김 생산성과 연관된 자료가 포함되어 있다. 또한 좀 더 거시적 경향성 파악을 위하여 새만금 해역의 김 생산성 조사 결과를 2001년 이전과 2001–2010년, 그리고 2011년 이후로 연대별 평균 결과를 분석하였다.
2.2 새만금 해역 및 유역 수질환경 현황 및 수질환경 요소 장기 변동 분석
새만금 해역의 장기간 수질환경 모니터링 현황 분석을 위해 정부에서 운영하는 해양환경측정망 자료(KOEM 2025, https://www.meis.go.kr)와 새만금 유역 통합환경관리시스템 자료(SBIMS 2025, https://www.eariul.go.kr)를 활용하였다. 새만금 해역에 해당하는 해양환경측정망 조사 정점은 금강하구둑 인근부터 금강을 따라 동–서 방향에 위치한 군산 정점 10개, 새만금 방조제와 고군산열도 지역을 아우르는 전주포 정점 8개, 그리고 부안–고창지역에 해당하는 고창 3개 정점, 총 21개 정점이다. 이 중에서 군산 1–8 정점은 금강의 담수 영향이 직접적으로 작용하는 정점으로, 염분 변동이 기수 또는 담수 환경에 가까운 결과가 빈번히 관측되어 해역으로서의 분석에 적합하지 않은 것으로 판단하였고, 고창 3 정점은 행정구역상 전라남도의 영광군 해역에 해당하는 정점임을 고려하여, 본 새만금 해역의 해양 수질 환경 특성 분석에서는 이들 정점을 제외한 군산 9, 10 정점(KS 9, 10), 전주포 1–8 정점(JJP 1~8), 그리고 고창 1, 2 정점(GC 1, 2) 등 총 12개 정점에 대한 자료들을 선별, 취합하여 분석에 사용하였다(Fig. 1). 또한 새만금 외측 해역 수질 변동에 직접적인 요인으로 작용하는 새만금 내측의 장기 수질 변동 특성 파악은 새만금호 내에 위치한 만경강과 동진강 수역 6개 정점(ME 1, ME 2, ML 3, DE 1, DE 2, DL 2)을 선별하여 사용하였다(Fig. 1).
장기적 변동 경향성 파악과 향후 예측을 위한 시간적 변동분석에 앞서, 본 새만금 해역의 가장 일반적인 현황 또는 기준을 설정하기 위해 1999년부터 2019년까지 21년간의 자료를 취합하여 평균적인 값을 도출함으로써, 소위 새만금 해역에서 특정 수질 항목의 기준값이 무엇인가에 대한 간략한 정보를 선제적으로 찾고자 하였다. 이후, 각 항목별 결과에 대한 시계열 경향성을 분석하여 과거로부터 현재까지의 수질 환경 현황을 파악하였다. 수질 환경인자들과 김 생산성 간의 관계를 파악하기 위해, 수질 환경 항목과 김 생산량, 책당 생산량, 김 단가 간의 정준대응분석(Canonical Correspondence Analysis, CCA)을 활용하였다. 정준대응분석(CCA)은 다변량 통계 기법으로, 수질 환경 변수와 김 생산성과의 상관관계를 시각화하고 주요 영향 인자를 도출하는 데 적합하여 다변량 통계 패키지 프로그램 MVSP (Multivariate Statistical Package for window, version 3.22)을 이용하여 수행하였다.
3. 결과
3.1 새만금 해역 김 생산성 장기간 변동분석
전라북도에서 집계되는 새만금 해역의 김 생산성 조사 결과를 2001년 이전과 2001–2010년, 그리고 2011년 이후로 연대별 평균 결과를 분석해 보면(Table 1), 김양식장 평균 면허 건수는 2001년 이전 138 건에서 2001–2010년 86건, 2011–2019년 62건으로 감소하는 경향을 보였다. 양식장 면허 면적은 2001년 이전 3,069 ha에서 2001–2010년에는 2,934 ha로 감소하다가, 2011–2019년 4,636 ha로 증가하였다. 김 시설 책수는 2001년 이전 60,259 책에서, 2001–2010년에는 50,350 책으로 감소하다가, 2011–2019년 80,291 책으로 증가하였다. 생산량은 2001년 이전 6,119,000 속, 2001–2010년 5,682,000 속, 2011–2019년 11,080,000 속으로 면허 면적 및 시설 책수와 유사한 경향을 나타냈다. 특히, 김 책당 생산량은 2001년 이전 88 속에서, 2001–2010년에는 112 속으로, 2011–2019년에는 134 속으로 점차 증가하는 추세로 나타내고 있다.
Table 1
Results of Pyropia production by year in the Saemangeum Sea area (Data from Fisheries Policy Department, Jeonbuk State).
김 생산성 조사 결과, 양식장 면허 건수는 1996년 이후 지속적으로 감소하다가 2018년 이후 소폭 증가하는 추세이고 1995년부터 2019년까지 25년간 평균은 90건으로 파악되었다(Fig. 2A). 양식적 허가 면적과 시설 책수는 2006년까지 감소하다가 2008년과 2009년 비교적 크게 증가하는 특징을 보였고 25년간 평균은 허가 면적 3,579 ha, 시설 책수 63,507 책이었다(Fig. 2B, C). 본 연구에서 가장 중요한 요소인 생산량은 2006년 약 3,504,000 속을 시작으로 전반적으로는 증가하는 추세를 보이며 2017년 14,877,000 속의 최대 생산량을 보여 최저 생산량 대비 약 4개 증가한 결과를 나타냈다. 25년간 평균 생산량은 7,730,000 속이었다(Fig. 2D). 판매금액은 2004년 약 82.9억 원으로 가장 적은 값을 보였고, 2017년에는 446.3억 원으로 최대 판매금액을 나타냈으며 25년간 평균은 194.8억 원이었다(Fig. 2E). 책당 생산량 및 면적당(ha) 생산량은 유사한 경향을 보이는데, 전반적으로 시간에 따라 증가하는 추세를 보인다(Fig. 2F, G). 2006년 이후 면허 면적의 증가에 따라 생산량이 증가하는 추세 속에서 2015년에는 김의 전체 생산량과 책당 생산량 및 면적당 생산량, 그리고 판매 금액까지 급격히 감소하다가 2016년부터는 다시 증가하는 특징을 보인다.

Fig. 2
Results of long-term fluctuations related to Pyropia production in Saemangeum Sea area (Data from Fisheries Policy Department, Jeonbuk State) (A) Number of Pyropia cultivation licenses, (B) Area of Pyropia cultivation, (C) Number of Pyropia cultivation facilities, (D) Yield of Pyropia, (E) Amount of money by Pyropia cultivation, (F) Yield of Pyropia cultivation per chaek, (G) Yield of Pyropia cultivation per area (ha).
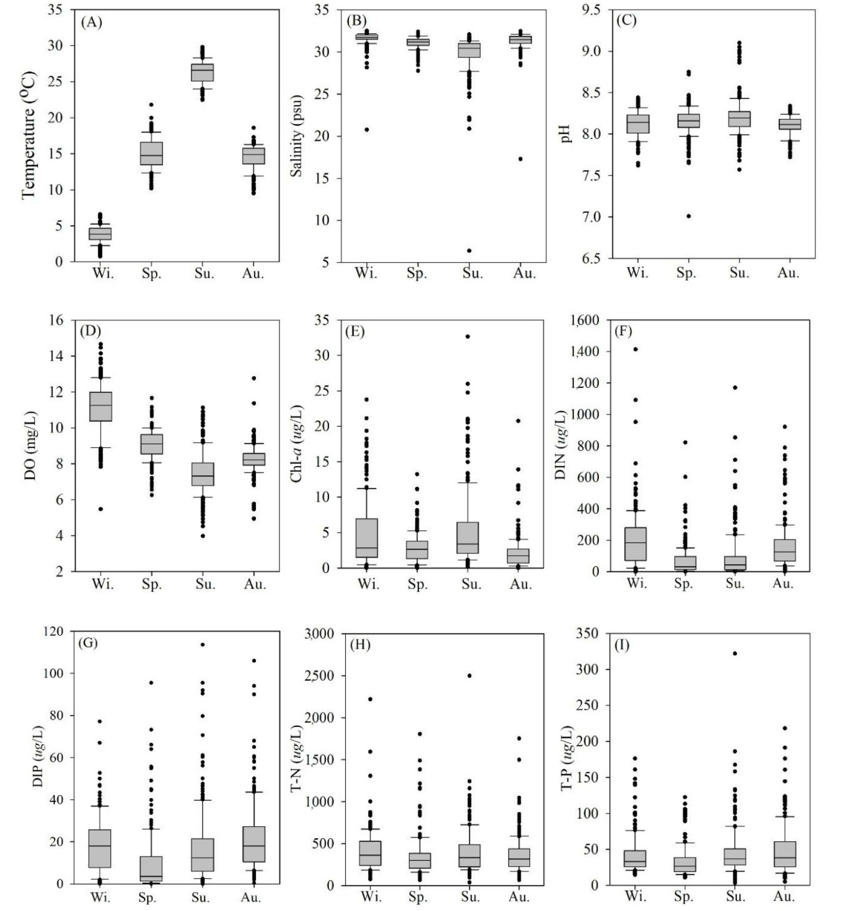
3.2 새만금 해역 수질환경 항목별 평균(표층 기준) 결과 산출
1997년부터 2019년까지의 총 21년간 새만금 해역 평균 수온은 14.9℃이고 염분은 30.96 psu이다. 계절별로 수온은 겨울 3.86℃, 봄 15.01℃, 여름 26.32℃, 가을 14.48℃로 여름에 가장 높고 겨울에 가장 낮은 특징을 보였다(Fig. 3A). 계절별 염분은 겨울 31.60 psu, 봄 31.09 psu, 여름 29.84 psu, 가을 31.29 psu로 겨울에 높고 여름에 가장 낮은 특징을 보였다(Fig. 3B). 계절별 수소이온 평균 농도는 여름 8.10 pH, 봄 8.1 pH, 겨울 8.12 pH, 가을 8.10 pH로 여름에 가장 높고 가을에 가장 낮은 특징을 보였다(Fig. 3C). 계절별 용존산소 평균 농도는 겨울 11.07 mg L–1, 봄 9.05 mg L–1, 여름 7.49 mg L–1, 가을 8.29 mg L–1로 겨울에 가장 높고 여름에 가장 낮은 특징을 보였다(Fig. 3D). 계절별 엽록소-a 평균 농도는 겨울 4.76 μg L–1, 봄 2.83 μg L–1, 여름 5.17 μg L–1, 가을 2.14 μg L–1L로 여름에 가장 높고 가을에 가장 낮은 특징을 보였다(Fig. 3E). 계절별 용존무기질소 평균 농도는 겨울 200.45 μg L–1, 봄 67.92 μg L–1, 여름 89.79 μg L–1, 가을 164.01 μg L–1로 겨울에 가장 높고 봄에 가장 낮은 특징을 보였다(Fig. 3F). 계절별 용존무기인 평균 농도는 겨울 18.59 μg L–1, 봄 9.97 μg L–1, 여름 17.46 μg L–1, 가을 21.69 μg L–1로 가을에 가장 높고 봄에 가장 낮은 특징을 보였다(Fig. 3G). 계절별 총질소 평균 농도는 겨울 414.54 μg L–1, 봄 348.75 μg L–1, 여름 401.51 μg L–1, 가을 363.95 μg L–1로 겨울에 가장 높고 봄에 가장 낮은 특징을 보였다(Fig. 3H). 계절별 총인 평균 농도는 겨울 42.39 μg L–1, 봄 33.35 μg L–1, 여름 46.89 μg L–1, 가을 47.85 μg L–1로 가을에 가장 높고 봄에 가장 낮은 특징을 보였다(Fig. 3I).

Fig. 3
Box plot results of seasonal water quality in Saemangeum Sea area. (A) Water Temperature, (B) Salinity, (C) pH, (D) Dissolved Oxygen, (E) Chlorophyll-a, (F) Dissolved Inorganic Nitrogen, (G) Dissolved Inorganic Phosphate,n, (H) Total Nitrogen, (I) Total Phosphate. (Data from Marine Environment Information System, Ministry of Oceans and Fisheries, Korea).
3.3 새만금 해역 수질환경 장기 변동 추세
연구기간 동안 매 분기별 획득된 수온 자료 결과를 통해 장기적 수온 변동을 분석하였다. 연도에 따라 다소 차이는 있지만 일반적인 계절적 수온 변동을 보이고 있다(Fig. 4A). 염분은 2000년대 초반, 2010년대 초반 여름에 다른 계절에 비해 낮은 수치를 기록하였지만, 장기간 커다란 변동 추세를 보이진 않았다(Fig. 4B). pH는 2005년 겨울에 다소 높은 값을 튄 값을 보인 적은 있지만 장기적으로 변동성은 크지 않았다(Fig. 4C). 용존산소 농도와 수온은 반비례 관계를 나타내고 있으며, 장기적으로 변동성은 크지 않으나 겨울에 용존산소 농도가 비교적 증가하는 경향을 보였다(Fig. 4D). 엽록소-a는 계절적으로는 여름을 제외한 계절에 증가하는 경향을 보이고, 증가 추세는 겨울이 가장 가파른데, 장기적으로 다소 증가하는 경향을 보였다(Fig. 4E). 용존무기질소 농도와 용존무기인 농도는 다른 수질 환경인자에 비하여 장기적으로 뚜렷한 감소 경향을 보였다(Fig. 4F, G). 특히, 새만금 방조제 완공 이후에 뚜렷한 감소 추세가 확인되었다. 총질소는 장기적으로 뚜렷한 감소 경향을 보였다(Fig. 4H). 용존무기질소 농도와는 다르게 새만금 방조제 완공 이전이 이후보다 감소 강도가 강하였다가, 이후에 감소 추세가 약해지는 특징을 보였다. 총인 역시 장기적으로 뚜렷한 감소 경향을 보였다(Fig. 4I).

Fig. 4
Long-term variations of water temperature (A), salinity (B), pH (C), dissolved oxygen (D), Chlorophyll-a concentration (E), dissolved inorganic nitrogen concentration (F), dissolved inorganic phosphate concentration (G), total nitrogen concentration (H) and total phosphate concentration (I) in Saemangeum Sea area, from 1999 to 2019 (Data from Marine Environment Information System, Ministry of Oceans and Fisheries, Korea).
3.4 새만금 해역 2015년 김 생산성 감소 원인 분석을 위한 수질 환경 특성 분석
새만금 해역의 김 생산성 분석 결과, 다른 해에 비해 2015년에 김 생산량과 책당 생산량, 그리고 위판 금액이 급격히 감소하는 경향을 보임으로써, 잠정적으로 2015년 생산성이 급감한 것으로 판단할 수 있다(Fig. 2). 이렇게 급격한 생산성 감소 시기의 새만금 해역 수질 현황에 어떠한 변화가 있었는지에 대한 비교 분석을 수행하고자, 김 양식 시기인 11월과 2월의 수질 현황 결과만을 추출하고, 2015년 생산성에 영향을 미쳤을 것으로 판단되는 2014년 11월과 2015년 2월의 각 수질 항목 결과를 대입하여 도시한 결과는 Fig. 5와 같다.
2014년 11월의 평균 수온은 14.8℃, 2015년 2월의 평균 수온은 4.6℃로, 21년간 평균 결과 11월 14.5℃, 2월 3.9℃에 비해 비교적 높은 특징을 보였다(Fig. 5A). 2014년 11월의 평균 염분은 31.2 psu, 2015년 2월의 평균 염분은 31.6 psu로, 21년간 평균 결과 11월 31.5 psu, 2월 31.6 psu에 비해 통계적으로 유의미한 차이는 없었다(Fig. 5B). 2014년 11월의 평균 용존무기질소 농도는 97.03 μg L–1, 2015년 2월의 농도는 96.19 μg L–1로, 21년간 평균결과 11월 164.01 μg L–1, 2월 200.45 μg L–1에 비해 매우 낮은 농도로 나타났으며, 용존무기인 농도 역시 예년에 비해 매우 낮은 농도로 나타났다(Fig. 5C). 2014년 11월의 평균 용존무기인 농도는 13.93 μg L–1, 2015년 2월의 농도는 7.16 μg L–1로, 21년간 평균은 11월 21.69 μg L–1, 2월 18.59 μg L–1에 비해 매우 낮은 농도로 나타나고 있다(Fig. 5D). 2014년 11월의 평균 엽록소-a 농도는 5.67 μg/L, 2015년 2월의 농도는 2.29 μg L–1로, 21년간 평균은 11월 2.12 μg L–1, 2월 4.68 μg L–1에 비해 11월은 높고 2월은 낮은 특징을 보였다(Fig. 5E).
4. 고찰
4.1 새만금 해역 장기 모니터링을 통한 수질 환경 변동 특성과 원인 분석
새만금 해역의 수온과 염분, pH, 용존산소 등의 기초 해양 수질 항목과 엽록소-a는 다소 증가하는 경향을 보였다(Fig. 4). 엽록소는 주로 식물플랑크톤의 양적 변동을 나타내는 생태학적 수질 판단 기준으로 활용되고(Koh et al. 1997), 엽록소가 과하게 높은 농도이면 적조로 대변되는 생태계 이상 징후로 판단할 수 있다. 따라서 본 새만금 해역의 엽록소의 증가 추세는 새만금 해역의 수질이 다소나마 점차 악화됨을 시사하고 있다.
하지만, 엽록소의 증가 요인으로 작용하는 영양염의 장기간 변동은 다른 결과를 보인다(Fig. 4). 새만금 해역의 용존무기질소와 용존무기인의 농도는 장기적으로 점차 감소하는 추세이며, 총질소 및 총인 역시 지속적으로 감소하는 추세이다(Fig. 4). 새만금 해역의 지속적인 영양염 감소 추세는 새만금 방조제 완공이후 담수의 해역 유출량 감소가 가장 큰 원인인 것으로 판단된다. 또한 새만금 해역 영양염 공급원이라 할 수 있는 금강과 새만금 내측에 위치한 만경강, 동진강의 오염 부하량 감소(ME 2012; JLBD 2019) 역시 새만금 해역의 영양염 감소의 원인으로 작용하였을 가능성이 있다.
새만금 해역의 주된 영양염 공급원인 새만금 내측의 수질 변동 특성을 확인하기 위하여 새만금호 중, 하류에 위치한 4개 정점(ME 2, ML 3, DE 2, DL 2, Fig. 1 참조)의 1997–2020년 수질 자료를 분석한 결과, 수질등급의 판단 기준으로 활용되는 T–N, T–P 그리고 부영양화의 원인이 되는 엽록소까지 모두 증가하는 경향을 보이고(Fig. 6A–C), 이와는 반대로 동일 기간 동안 만경강, 동진강 수역에 해당하는 상류 지역(정점 DE 1, ME 1)에서는 T–N, T–P, 엽록소 농도가 감소하는 경향을 보였다(Fig. 6D–F). 이러한 상류의 영양염 농도 감소에도 불구하고 중, 하류의 영양염 농도 증가 원인은 만경강, 동진강 상류의 수질이 호전되었더라도 일정량의 영양염류는 지속적으로 새만금호로 유입되고, 간헐적인 갑문 운용 시기를 제외한 대부분의 기간 동안 새만금 내측은 정체 상태로 유지되기 때문에 영양염이 지속적으로 축적되기 때문으로 사료된다. 또한 새만금 내측의 안정적인 수괴 특성과 중, 하류에 축적된 영양염은 식물플랑크톤 호성장 조건으로 작용하여 엽록소 역시 점차 증가한 것으로 판단된다.
새만금 해역의 영양염 농도 감소에도 불구하고 증가한 엽록소 농도는 새만금 내측 중, 하류에서 증가한 식물물랑크톤 군집이 간헐적이나마 새만금 해역으로 지속적으로 유입되고, 방조제 건설로 호전된 물리적 환경이 방류 해역 인근에서 유지, 증가함으로써 나타나는 현상일 것으로 사료된다.

Fig. 6
Long-term variations of total nitrogen (A, D), total phosphate concentration (B, E), and Chlorophyll-a (C, F) at six sites (DE2, DL2, ME2, ML3, DE1 and ME1) in Saemangeum Lake. (Data from Saemangeum Lake Total Environmental Management System, https://www.eariul.go.kr). See Fig. 1 for information of six sites.
4.2 새만금 해역 김 생산성 변동 원인 분석
새만금 해역에 해당되는 총 12개 정점에 대한 21년간의 과거 자료들을 분석하여 보면, 장기적으로 수온, 염분, pH의 증가 경향을 보인다. 김 생산 시기인 겨울철에 수온이 높으면 김 갯병 발생 가능성이 높고, 식물성 플랑크톤과 같은 다른 영양염 활용 경쟁생물들의 생장을 촉진시키는 등의 이유로 김 생산성을 저하시키는 것으로 알려져 있다(Davison 1991; Liu and Zou 2015). 따라서, 평년에 비해 높은 수온이 2015년 김 생산성 저하의 원인으로 작용하였을 개연성은 충분하지만, 평균 수온이 비교적 높았음에도 김 생산성에 큰 차이가 없었던 다른 해의 경우를 볼 때 수온이 2015년 김 생산성 저하에 직접적으로 영향을 미치지 않았을 가능성도 있을 것으로 사료된다.
2010년에는 전남 해남, 전북 군산, 부안, 충남 보령과 서천 지역에서 대규모로 황백화가 발생하였으며, 2017년에는 서천과 군산의 김 양식장에서 발생되었다(NIFS 2017). 황백화가 일어난 해역에서 영양염 농도는 해역마다 다소 차이가 있었지만 용존무기질소 농도는 2016년 해남에서 0.074 mg L–1를 제외하고는 0.007–0.047 mg L–1 범위로 매우 낮은 농도였다(Kim et al. 2018). 2010년 황백화 발생 지역의 용존무기질소 평균 농도는 0.030 mg L–1, 2016년 황백화 발생 지역 평균 농도는 0.041 mg L–1인 것으로 확인되었다. Fujiwara et al. (2008)는 일본에서 발생한 김 황백화는 김 양식장 내 해수 중 용존무기질소와 용존무기인의 부족으로 인한 것이며, 용존무기질소 농도는 0.07 mg L–1, 용존무기인 농도는 0.016 mg L–1 이하의 조건이 지속될 때 발생한다고 하였다. NFRDI (2015)는 이러한 내용을 기반으로 황백화의 원인을 용존무기질소와 용존무기인의 결핍으로 가정하고, 정상 김 엽체의 황백화 유도와 회복 실험을 수행하였다. 실험에서 김 엽체는 해수 내의 용존무기질소가 부족할 때 김 세포 내의 액포가 비대해지고 엽체가 탈색됨을 확인하였다. 이 실험에서 15℃ 이상의 조건에서 액포가 빠르게 비대해지고 배양 조건에 따라 다소 차이는 있지만 보통 6일 이후에 황백화가 나타나기 시작하였다. 이 결과는 수온이 높고 용존무기질소 농도가 낮으면 황백화가 발생할 가능성이 높고, 황백화가 나타난 후의 김 엽체는 용존무기질소의 농도가 적정 수준에 이르면 수일 내에 정상적으로 회복되는 것을 시사한다. Lee et al. (2019)는 황백화를 유발한 영양염 결핍의 원인을 찾고자 시도하였으나 원인은 추정될 뿐 명확한 결론을 내릴 수 없다고 하였다.
이번 연구 결과, 새만금 해역의 김 생산성이 일시적으로 대폭 감소한 2015년을 중심으로 2014년 11월과 2015년 2월의 용존무기질소 농도는 앞서 언급한 황백화의 원인 영양염 농도인 0.07 mg L–1 보다는 약간 높은 농도(2014년 11월 0.097 mg L–1, 2015년 2월 0.096 mg L–1) 이기는 하지만 21년간의 평균 11월 0.164 mg L–1, 2월 0.200 mg L–1에 비해 약 1/2 감소한 농도이다(Fig. 5C). 용존무기인의 경우, 황백화 원인 영양염 농도 0.016 mg L–1 보다 낮은 농도(2014년 11월 0.0139 mg L–1, 2015년 2월 0.0072 mg L–1)이었고, 21년간 평균 11월 0.022 mg L–1, 2월 0.019 mg L–1에 비해 현저히 낮은 특징을 보였다(Fig. 5D). 따라서 2015년의 김 생산성 급감은, 겨울 및 가을의 용존무기질소(DIN)와 용존무기인(DIP) 농도가 21년 평균 대비 약 1/2 이하로 감소한 점과 직접적으로 연관된 것으로 판단된다. 이는 국내외 선행 연구에서 보고된 황백화와 유사한 메커니즘으로, 영양염 결핍이 김 생산성 저하의 주요 원인임을 시사한다.
새만금 해역 김 생산성과 해양 수질 항목 간의 통계적 상관성을 분석하기 위해 정준대응분석(Canonical Correspondence Analysis) 결과, 김의 책당 생산량과 영양염 간의 비교적 높은 상관관계를 확인할 수 있지만, 김 생산량과 김 단가 등과는 상관관계가 없는 것으로 확인되었다(Fig. 7). 이는 1999년부터 2019년까지 25년간의 모든 값을 포함한 분석 결과로, 2000년대 초반 전체적으로 낮은 김 생산량과 단가가 적용되었기 때문인 것으로 판단되고, 2015년의 급격한 생산성 감소의 원인을 설명하기에는 부족하다고 사료된다.
또한, 본 연구 지역인 새만금 해역의 용존무기영양염의 농도가 2003년 이후 지속적으로 감소하는 추세임에도 불구하고, 2015년 전후의 김 생산성에는 큰 차이가 없었다는 점을 감안할 때, 용존무기영양염의 농도가 김 생산성에 절대적인 작용인자인 것으로 해석하는 데에는 무리가 있다. 따라서, 해양 수질 변화에 따른 김 생산성 원인 분석을 목적으로 하는 보다 과학적이고 목적 지향적인 현장 조사와 연구가 향후 필요할 것으로 판단된다.
5. 결론
이번 연구는 새만금 해역에서 김 생산성과 관련된 자료들을 분석하고, 해양환경측정망 결과를 활용하여 새만금 해역의 수질에 대한 변동 양상을 분석하였다. 분석 결과, 새만금 해역의 엽록소-a 농도는 장기적으로 뚜렷한 증가 경향을 보이지만, 김 생장에 필수 요소인 용존무기질소와 용존무기인의 농도는 점차 감소하는 경향이며, 총질소 및 총인 역시 지속적으로 감소하는 추세이다. 김 생산성 결과의 경우, 2015년의 전체 생산량과 책당 생산량 등이 급격히 감소하는 특징을 보였다. 2015년 김 생산성 감소 시기에 수질 변동 특성을 확인한 결과, 21년간 평균에 비해 이 기간에 용존무기질소 및 용존무기인의 농도가 현저히 낮았고, 황백화 현상을 발생시키는 것으로 알려진 용존무기질소, 용존무기인 최저 농도와 거의 유사하거나 이보다 낮은 것으로 확인되었다. 따라서, 용존무기질소와 용존무기인의 농도가 2015년 김 생산성 저하에 상당한 영향을 미쳤을 가능성이 높은 것으로 판단된다. 다만, 2015년과 유사하게 낮은 농도의 영영염 조건임에도 불구하고, 2015년 전후의 김 생산성에는 영향을 주지 않은 경우도 있었기에 용존무기영양염의 농도가 김 생산성에 절대적인 작용인자인 것으로 해석하는 데에는 무리가 있으며, 향후 김의 생산성은 당해 해양환경의 영향과 갯병 발생, 황백화, 양식밀도 등 관리 측면도 고려한 연구가 필요할 것으로 사료된다.





