1. 서론
잘피(seagrass)는 해수에 적응된 수생 현화식물로 5과 13속 60여종이 극지방을 제외한 전세계 연안에 서식하고 있다(den Hartog 1970; Short et al. 2007). 우리나라에는 3과 4속 9종의 잘피가 동, 서, 남해안과 제주 연안에 출현하고 있다(Lee and Lee, 2003; Kim et al. 2010). 잘피는 수중 초원을 형성하며 고밀도로 생육하여 파도와 조류에너지를 완화시킨다(Nordlund et al. 2018). 잘피 초원은 다양한 해양생물의 서식처와 먹이를 제공함으로써 생물다양성을 유지하는 지구상에서 가장 생산성이 높은 생태계로 평가된다(Duffy 2006). 잘피의 생태적·경제적·기후적 중요성은 수많은 연구를 통하여 강조되어 왔고, 잘피 보전과 관리는 전 세계 연안지역의 핵심 과제 중 하나로 주목받고 있다(Orth et al. 2020; Unsworth et al. 2023). 또한, 잘피 초원의 분포 현황을 파악하는 것이 잘피 보전과 관리의 초석이라는 점은 자명한 사실이다.
우리나라 동해안은 강원도 고성군부터 부산광역시 기장군과 해운대의 경계까지로 도서지역을 포함하며 한국 전체 해안선의 약 6.7%를 차지하고 있다(https://www.khoa.go.kr/). 남서해안은 많은 섬들이 위치하고 리아스식 해안으로 해안선이 복잡하고 수심이 낮은데 비해 동해안은 해안선이 단조로우며 수심이 깊다. 또한, 남서해안은 비교적 조류가 약하고 조차가 커 연성기질의 넓은 갯벌이 발달된데 비해 동해안은 파랑에너지가 높고 조차가 작으며 암반 해안이 발달되어 있다. 남서해안에는 연성 저질에 서식하는 거머리말속(genus Zostera) 잘피가 빈번히 넓은 초원을 이루며 나타나고, 섬이나 내륙 연안의 암반에 새우말속(genus Phyllospadix) 잘피가 출현한다. 반면, 동해안에는 파랑에너지가 높은 해역의 암반 위에 새우말속 잘피가 빈번히 출현하고, 거머리말속 잘피는 파랑에너지가 약한 항 내나 방파제가 연장되어 파도로부터 은폐된 곳에 제한적으로 서식한다(Lee and Lee 2003; Lee et al. 2016). 거머리말속은 우리나라 연안에 가장 넓게 분포하고 있는 잘피로 이들의 분포에 대한 조사는 남해안에서 주로 수행되어 동해안에서는 이에 대한 자료가 매우 부족하다(Kim et al. 2010; Yeo et al. 2022).
본 조사에서는 강원도 고성군부터 부산광역시 기장군에 이르는 우리나라 동해 연안 거머리말속 잘피 분포현황을 파악하는 것을 목적으로 한다. 거머리말속 잘피는 환경적 수산학적 생태적 중요성 이외에도 기후온난화 대응을 위한 블루카본자원으로써 중요성을 인정받고 있으며(Fourqurean et al. 2012; Macreadie et al. 2021), 우리나라 연안에는 거머리말(Zostera marina), 왕거머리말(Z. asiatica), 수거머리말(Z. caulescens), 포기거머리말(Z. caespitosa)과 애기거머리말(Z. japonica)이 출현한다(Lee and Lee 2003; Kim et al. 2010; Lee et al. 2016). 본 조사 결과는 동해 연안의 잘피 보전과 관리에 과학적인 기초자료를 제공할 것이다.
2. 재료 및 방법
2.1 조사지 개요
한국 동해안은 강원도, 경상북도, 울산과 부산광역시를 포함하며, 해안선 길이는 내륙 676 km와 울릉도 등 섬을 포함해서 총 1,005 km에 이른다(https://www.khoa.go.kr/). 본 조사 범위는 강원도 최북단인 고성군을 시작으로 속초시, 양양군, 강릉시, 동해시, 삼척시를 포함하고, 경상북도의 울진군, 영덕군, 포항시와 경주시, 울산광역시와 부산광역시 기장군 등 동해안 대부분을 아우른다(Fig. 1). 섬 지역을 포함한 동해안에는 국가 어항 31개, 지방 어항 47개, 어촌 정주어항 51개와 101개의 소규모 항포구가 자리잡고 있다(Ministry of Oceans and Fisheries 2023).

Fig. 1a
Distribution of Zostera spp. in Goseong-gun, Sokcho-si, and Yangyang-gun, Gangwon-do. The location of this map within the entire eastern coast of Korea is shown in Fig. 1.

Fig. 1b
Distribution of Zostera spp. in Gangneung-si, Donghae-si, and Samsheok-si Gangwon-do. The location of this map within the entire eastern coast of Korea is shown in Fig. 1.

Fig. 1c
Distribution of Zostera spp. in Uljin-gun(c-1) and Ulleung-gun(c-2), Gyeongsangbuk-do. The location of this map within the entire eastern coast of Korea is shown in Fig. 1.

Fig. 1d
Distribution of Zostera spp. in Yeongdeok-gun, Gyeongsangbuk-do. The location of this map within the entire eastern coast of Korea is shown in Fig. 1.

Fig. 1e
Distribution of Zostera spp. in Pohang-si, Gyeongsangbuk-do. The location of this map within the entire eastern coast of Korea is shown in Fig. 1.

Fig. 1f
Distribution of Zostera spp. in Gyeongju-si, Gyeongsangbuk-do, Ulsan-si and Busan-si. The location of this map within the entire eastern coast of Korea is shown in Fig. 1.
2.2 잘피 분포 조사
잘피(seagrass) 분포 현황 조사는 2019년 1월부터 12월까지 동해안의 북쪽부터 남쪽으로 해안에 접하고 있는 230개 항과 지역 어촌계를 방문하여 거머리말속(genus Zostera) 잘피 유무에 대한 설문조사를 실시하였다. 잘피가 출현하는 항은 도보로 항 주변을 걸으며 목시조사를 실시하였고, 필요한 경우 선박을 이용한 스노클링과 잠수조사를 실시하였다. 항 외부에 서식하는 잘피는 지역 어촌계 설문 결과를 바탕으로 선박을 이용하여 스노클링과 스쿠바다이빙을 이용한 잠수 조사를 실시하였다. 잠수 조사를 통해 잘피 출현이 확인된 곳은 그 군락의 분포 면적을 측정하였다. 분포 면적의 측정을 위해 먼저 잘피 군락지의 경계면을 따라 부이를 설치하였고, 선박을 이용하여 부이를 따라 이동하면서 GPS 좌표를 로깅한 후(Garmin Montana 650, Taiwan), 기록된 좌표를 토대로 분포 면적을 계산하였다(Mckenzie et al. 2001; Tanaka et al. 2006; Park et al. 2020). 잘피 조사 정점의 지도(Fig. 1, Fig. 1a~1f)는 QGIS 3.4 프로그램을 이용하여 google 위성지도(http://www.google.cn/maps/vt?lyrs=s@189&gl=cn&x={x}&y={y}&z={z}) 및 국토지리정보원의 대한민국 전도(https://www.ngii.go.kr/world/mapdownload05_en.html)를 바탕 지도로 사용하였으며, 좌표값의 위·경도는 도·분·초로 나타내었다. 잘피 종의 동정은 den Hartog (1970)의 분류 방법에 따라 종을 분류하였고, 각 서식지의 수심은 군락지 중심 부근의 수심을 다이빙컴퓨터(Cressi Goa, CR2450, Italy)를 이용하여 측정하였다(Table 1).
Table 1
Locations and areas of Zostera species meadows in the eastern coast of Korea.
| No. | Location | Habitat type | Latitude | Longitude | Depth (m) | Area (m2) | |||
| Zm | Za | Zs | Zl | ||||||
| 1 | Chodo, Hyeonnae-myeon, Goseong-gun, Gangwon-do | P | 38°29′10.78″N | 128°26′19.04″E | 2.8 | 48 | |||
| 2 | Gajin, Jugwang-myeon, Goseong-gun, Gangwon-do | P | 38°22′01.31″N | 128°30′42.23″E | 2.5 | 2,956 | |||
| 3 | Gonghyeonjin, Jugwang-myeon, Goseong-gun, Gangwon-do* | OS | 38°21′40.30″N | 128°30′50.71″E | 13.5 | 3,584 | |||
| 4 | Munamjin, Jugwang-myeon, Goseong-gun, Gangwon-do | P | 38°18′07.86″N | 128°32′58.12″E | 3.5 | 818 | |||
| 5 | Bongpo, Toseong-myeon, Goseong-gun, Gangwon-do | P | 38°15′01.67″N | 128°34′09.08″ | 3.4 | 10,836 | |||
| 6 | Jangsa, Sokcho-si, Gangwon-do | P | 38°13′33.25″N | 128°35′23.65″E | 3.2 | 2,705 | |||
| 7 | Mulchi, Ganghyeon-myeon, Yangyang-gun, Gangwon-do | P | 38°09′16.46″N | 128°36′37.06″E | 3.2 | 16,526 | |||
| 8 | Susan, Sonyang-myeon, Yangyang-gun, Gangwon-do | P | 38°04′42.79″N | 128°40′33.76″E | 2.5 | 31,099 | |||
| 9 | Dongho, Sonyang-myeon, Yangyang-gun, Gangwon-do* | OS | 38°03′48.01″N | 128°41′13.03″E | 13.0 | 49,501 | |||
| 10 | Gisamun, Hyeonbuk-myeon, Yangyang-gun, Gangwon-do | OS | 38°00′29.12″N | 128°44′19.29″E | 9.0 | 130,000 | |||
| 11 | Dongsan, Hyeonnam-myeon, Yangyang-gun, Gangwon-do | P | 37°58′45.36″N | 128°45′44.13″E | 2.8 | 6,727 | |||
| 12 | Jumun, Jumunjin-eup, Gangneung-si, Gangwon-do | P | 37°54′18.37″N | 128°49′48.69″E | 1.5 | 4,975 | |||
| 13 | Gyohang, Jumunjin-eup, Gangneung-si, Gangwon-do | P | 37°53′25.36″N | 128°49′47.66″E | 2.5 | 767 | |||
| 14 | Sacheonjin, Sacheon-myeon, Gangneung-si, Gangwon-do | P | 37°50′09.42″N | 128°52′38.01″E | 3.5 | 5,667 | |||
| 15 | Anhyeon, Gangneung-si, Gangwon-do | OS | 37°48′52.07″N | 128°54′01.32″E | 9.5 | 10,116 | |||
| 16 | Gyeonso, Gangneung-si, Gangwon-do | P | 37°46′17.78″N | 128°57′12.11″E | 3.2 | 244 | |||
| 17 | Simgok, Gangdong-myeon, Gangneung-si, Gangwon-do | P | 37°39′55.17″N | 129°03′15.41″E | 3.5 | 10,654 | |||
| 18 | Josan, Okgye-myeon, Gangneung-si, Gangwon-do | P | 37°37′14.61″N | 129°03′31.43″E | 1.5 | 1,372 | |||
| 19 | Josan, Okgye-myeon, Gangneung-si, Gangwon-do | P | 37°37′15.56″N | 129°03′33.00″E | 2.8 | 3,000 | |||
| 20 | Eodal, Donghae-si, Gangwon-do | P | 37°33′41.49″N | 129°07′14.74″E | 1.8 | 5,787 | |||
| 21 | Deoksan, Geundeok-myeon, Samcheok-si, Gangwon-do | P | 37°22′39.02″N | 129°15′14.52″E | 3.5 | 18,402 | |||
| 22 | Deoksan, Geundeok-myeon, Samcheok-si, Gangwon-do | P | 37°22′37.38″N | 129°15′16.16″E | 5.0 | 1,840 | |||
| 23 | Jangho, Geundeok-myeon, Samcheok-si, Gangwon-do* | P | 37°17′16.08″N | 129°19′00.96″E | 2.5 | 247 | |||
| 24 | Imwon, Wondeok-eup, Samcheok-si, Gangwon-do* | P | 37°13′45.34″N | 129°20′42.32″E | 1.0 | 63 | |||
| 25 | Hosan, Wondeok-eup, Samcheok-si, Gangwon-do* | P | 37°10′33.26″N | 129°20′38.61″E | 1.0 | 515 | |||
| 26 | Cheonbu, Buk-myeon, Ulleung-gun, Gyeongsangbuk-do** | WS | 37°32′28.43″N | 130°55′16.15″E | 22.0 | 3,770 | |||
| 27 | Hyeonpo, Buk-myeon, Ulleung-gun, Gyeongsangbuk-do** | P | 37°31′41.81″N | 130°49′25.95″E | 4.3 | 9,307 | |||
| 28 | Jeodong, Ulleung-eup, Ulleung-gun, Gyeongsangbuk-do** | WS | 37°29′37.18″N | 130°54′55.02″E | 19.5 | 5,266 | |||
| 29 | Sadong, Ulleung-eup, Ulleung-gun, Gyeongsangbuk-do** | WS | 37°27′22.31″N | 130°52′39.36″E | 16.4 | 6,830 | |||
| 30 | Namyang, Seo-myeon, Ulleung-gun, Gyeongsangbuk-do** | WS | 37°27′18.29″N | 130°52′01.96″E | 17.0 | 32,977 | |||
| 31 | Nagok, Buk-myeon, Uljin-gun, Gyeongsangbuk-do | OS | 37°08′50.09″N | 129°22′05.61″E | 12.4 | 1,680 | |||
| 32 | Nagok, Buk-myeon, Uljin-gun, Gyeongsangbuk-do | P | 37°06′46.39″N | 129°22′36.09″E | 2.5 | 2,109 | |||
| 33 | Jukbyeon, Jukbyeon-myeon, Uljin-gun, Gyeongsangbuk-do* | WS | 37°03′00.89″N | 129°25′01.87″E | 3.0 | 8,943 | |||
| 34 | Jukbyeon, Jukbyeon-myeon, Uljin-gun, Gyeongsangbuk-do* | WS | 37°03′00.26″N | 129°25′03.30″E | 3.5 | 3,046 | |||
| 35 | Bongpyeong, Jukbyeon-myeon, Uljin-gun, Gyeongsangbuk-do* | OS | 37°02′29.60″N | 129°25′00.23″E | 11.0 | 114,372 | |||
| 36 | Bongpyeong, Jukbyeon-myeon, Uljin-gun, Gyeongsangbuk-do* | P | 37°01′59.39″N | 129°24′54.49″E | 0.8 | 266 | |||
| 37 | Yeonji, Uljin-eup, Uljin-gun, Gyeongsangbuk-do* | P | 36°59′25.90″N | 129°24′59.40″E | 1.3 | 3,148 | |||
| 38 | Eumnam, Uljin-eup, Uljin-gun, Gyeongsangbuk-do | P | 36°59′03.39″N | 129°24′39.82″E | 1.5 | 1,868 | |||
| 39 | Jinbok, Geunnam-myeon, Uljin-gun, Gyeongsangbuk-do | P | 36°55′04.61″N | 129°25′04.22″E | 2.0 | 3,146 | |||
| 40 | Osan, Maehwa-myeon, Uljin-gun, Gyeongsangbuk-do | P | 36°53′27.93″N | 129°25′05.96″E | 2.0 | 32,016 | |||
| 41 | Sadong, Giseong-myeon, Uljin-gun, Gyeongsangbuk-do | P | 36°49′31.49″N | 129°26′55.07″E | 2.5 | 29,274 | |||
| 42 | Giseong, Giseong-myeon, Uljin-gun, Gyeongsangbuk-do | P | 36°48′12.14″N | 129°27′29.74″E | 2.5 | 8,292 | |||
| 43 | Gusan, Giseong-myeon, Uljin-gun, Gyeongsangbuk-do | P | 36°45′28.03″N | 129°28′09.04″E | 2.5 | 32,847 | |||
| 44 | Jiksan, Pyeonghae-eup, Uljin-gun, Gyeongsangbuk-do | P | 36°43′29.35″N | 129°28′27.08″E | 2.8 | 5,317 | |||
| 45 | Hupo, Hupo-myeon, Uljin-gun, Gyeongsangbuk-do* | WS | 36°40′36.57″N | 129°27′08.20″E | 3.0 | 58,987 | |||
| 46 | Hupo, Hupo-myeon, Uljin-gun, Gyeongsangbuk-do* | WS | 36°40′34.80″N | 129°27′05.34″E | 3.5 | 22,133 | |||
| 47 | Geumeum3, Hupo-myeon, Uljin-gun, Gyeongsangbuk-do | P | 36°39′40.91″N | 129°25′58.94″E | 2.0 | 2,683 | |||
| 48 | Yeong, Byeonggok-myeon, Yeongdeok-gun, Gyeongsangbuk-do | OS | 36°36′38.44″N | 129°25′10.88″E | 14.0 | 6,815 | |||
| 49 | Byeonggok, Byeonggok-myeon, Yeongdeok-gun, Gyeongsangbuk-do | P | 36°35′54.74″N | 129°24′52.74″E | 1.7 | 11,546 | |||
| 50 | Daejin, Yeonghae-myeon, Yeongdeok-gun, Gyeongsangbuk-do | P | 36°33′29.83″N | 129°26′02.29″E | 2.2 | 9,213 | |||
| 51 | Sajin, Yeonghae-myeon, Yeongdeok-gun, Gyeongsangbuk-do | P | 36°31′56.68″N | 129°26′23.70″E | 2.0 | 2,032 | |||
| 52 | Gyeongjeong, Chuksan-myeon, Yeongdeok-gun, Gyeongsangbuk-do | P | 36°28′57.07″N | 129°26′04.67″E | 2.5 | 10,522 | |||
| 53 | Daebu, Yeongdeok-eup, Yeongdeok-gun, Gyeongsangbuk-do | P | 36°24′20.02″N | 129°25′33.02″E | 2.2 | 9,952 | |||
| 54 | Hajeo, Ganggu-myeon, Yeongdeok-gun, Gyeongsangbuk-do | P | 36°23′21.71″N | 129°24′38.13″E | 2.5 | 1,875 | |||
| 55 | Geumjin, Ganggu-myeon, Yeongdeok-gun, Gyeongsangbuk-do | P | 36°22′04.51″N | 129°23′42.91″E | 2.5 | 412 | |||
| 56 | Samsa, Ganggu-myeon, Yeongdeok-gun, Gyeongsangbuk-do | P | 36°20′35.56″N | 129°23′02.92″E | 2.0 | 7,620 | |||
| 57 | Gugye, Namjeong-myeon, Yeongdeok-gun, Gyeongsangbuk-do | P | 36°19′08.14″N | 129°22′46.84″E | 3.5 | 11,123 | |||
| 58 | Woncheok, Namjeong-myeon, Yeongdeok-gun, Gyeongsangbuk-do | P | 36°18′01.94″N | 129°22′44.48″E | 2.0 | 416 | |||
| 59 | Bugyeong, Namjeong-myeon, Yeongdeok-gun, Gyeongsangbuk-do | P | 36°16′19.12″N | 129°22′41.35″E | 2.5 | 553 | |||
| 60 | Jigyeong, Songna-myeon, Buk-gu, Pohang-si, Gyeongsangbuk-do | P | 36°15′38.12″N | 129°22′31.19″E | 1.5 | 2,339 | |||
| 61 | Hwajin, Songna-myeon, Buk-gu, Pohang-si, Gyeongsangbuk-do | P | 36°14′30.42″N | 129°22′58.76″E | 1.5 | 8,584 | |||
| 62 | Bangseok, Songna-myeon, Buk-gu, Pohang-si, Gyeongsangbuk-do | P | 36°13′57.35″N | 129°22′57.57″E | 2.8 | 7,411 | |||
| 63 | Josa, Songna-myeon, Buk-gu, Pohang-si, Gyeongsangbuk-do | P | 36°13′18.62″N | 129°23′10.92″E | 2.5 | 2,847 | |||
| 64 | Bangeo, Cheongha-myeon, Buk-gu, Pohang-si, Gyeongsangbuk-do | P | 36°12′36.55″N | 129°22′53.82″E | 1.2 | 6,139 | |||
| 65 | Wolpo, Cheongha-myeon, Buk-gu, Pohang-si, Gyeongsangbuk-do | P | 36°12′27.49″N | 129°22′37.02″E | 2.5 | 4,886 | |||
| 66 | Wolpo, Cheongha-myeon, Buk-gu, Pohang-si, Gyeongsangbuk-do | WS | 36°11′54.14″N | 129°22′39.46″E | 4.0 | 248,657 | |||
| 67 | Iga, Cheongha-myeon, Buk-gu, Pohang-si, Gyeongsangbuk-do | P | 36°11′02.40″N | 129°23′09.97″E | 1.6 | 5,970 | |||
| 68 | Cheongjin, Cheongha-myeon, Buk-gu, Pohang-si, Gyeongsangbuk-do | P | 36°09′58.56″N | 129°23′55.20″E | 2.8 | 2,502 | |||
| 69 | Chilpo, Heunghae-eup, Buk-gu, Pohang-si, Gyeongsangbuk-do | P | 36°08′29.71″N | 129°24′01.64″E | 1.6 | 6,991 | |||
| 70 | Chilpo, Heunghae-eup, Buk-gu, Pohang-si, Gyeongsangbuk-do* | OS | 36°08′35.44″N | 129°23′47.09″E | 10.0 | 47,456 | |||
| 71 | Umok, Heunghae-eup, Buk-gu, Pohang-si, Gyeongsangbuk-do | P | 36°05′46.14″N | 129°25′42.41″E | 1.2 | 1,258 | |||
| 72 | Jukcheon, Heunghae-eup, Buk-gu, Pohang-si, Gyeongsangbuk-do | WS | 36°05′19.87″N | 129°25′18.82″E | 6.5 | 150,603 | |||
| 73 | Yeonam, Buk-gu, Pohang-si, Gyeongsangbuk-do | P | 36°04′19.04″N | 129°24′41.73″E | 3.0 | 2,964 | |||
| 74 | Hwanho, Buk-gu, Pohang-si, Gyeongsangbuk-do | P | 36°04′15.65″N | 129°24′21.56″E | 2.8 | 2,034 | |||
| 75 | Duho, Buk-gu, Pohang-si, Gyeongsangbuk-do | WS | 36°03′35.88″N | 129°23′01.99″E | 3.5 | 172,182 | |||
| 76 | Songdo, Nam-gu, Pohang-si, Gyeongsangbuk-do | WS | 36°02′08.46″N | 129°23′33.12″E | 3.8 | 11,448 | |||
| 77 | Imgok, Donghae-myeon, Nam-gu, Pohang-si, Gyeongsangbuk-do | P | 35°59′45.23″N | 129°27′24.11″E | 3.2 | 3,507 | |||
| 78 | Ibam, Donghae-myeon, Nam-gu, Pohang-si, Gyeongsangbuk-do | P | 36°00′29.02″N | 129°27′59.25″E | 2.8 | 389 | |||
| 79 | Masan, Donghae-myeon, Nam-gu, Pohang-si, Gyeongsangbuk-do | P | 36°01′00.33″N | 129°29′16.45″E | 1.5 | 1,495 | |||
| 80 | Heunghwan, Donghae-myeon, Nam-gu, Pohang-si, Gyeongsangbuk-do | P | 36°01′36.30″N | 129°30′10.69″E | 2.2 | 1,173 | |||
| 81 | Balsan, Donghae-myeon, Nam-gu, Pohang-si, Gyeongsangbuk-do | P | 36°01′56.78″N | 129°30′12.84″E | 2.4 | 3,415 | |||
| 82 | Guman, Homigot-myeon, Nam-gu, Pohang-si, Gyeongsangbuk-do | P | 36°04′44.29″N | 129°33′44.18″E | 3.0 | 7,882 | |||
| 83 | Gangsa, Homigot-myeon, Nam-gu, Pohang-si, Gyeongsangbuk-do | P | 36°04′04.97″N | 129°34′09.19″E | 2.8 | 480 | |||
| 84 | Seokbyeong, Guryongpo-eup, Nam-gu, Pohang-si, Gyeongsangbuk-do | P | 36°00′44.23″N | 129°34′43.55″E | 3.0 | 1,776 | |||
| 85 | Samjeong, Guryongpo-eup, Nam-gu, Pohang-si, Gyeongsangbuk-do | P | 36°00′25.34″ N | 129°34′34.98″E | 2.4 | 1,669 | |||
| 86 | Janggil, Guryongpo-eup, Nam-gu, Pohang-si, Gyeongsangbuk-do | P | 35°57′06.99″N | 129°32′43.41″E | 3.5 | 874 | |||
| 87 | Yeongam, Janggi-myeon, Nam-gu, Pohang-si, Gyeongsangbuk-do | P | 35°54′47.72″N | 129°31′26.43″E | 2.4 | 2,003 | |||
| 88 | Sinchang, Janggi-myeon, Nam-gu, Pohang-si, Gyeongsangbuk-do | P | 35°53′50.02″N | 129°31′39.12″E | 3.5 | 2,413 | |||
| 89 | Gyewon, Janggi-myeon, Nam-gu, Pohang-si, Gyeongsangbuk-do | P | 35°52′16.75″N | 129°31′45.03″E | 3.2 | 1,567 | |||
| 90 | Mopo, Janggi-myeon, Nam-gu, Pohang-si, Gyeongsangbuk-do | P | 35°55′56.98″N | 129°31′27.48″E | 3.0 | 9,002 | |||
| 91 | Mopo, Janggi-myeon, Nam-gu, Pohang-si, Gyeongsangbuk-do | WS | 35°55′55.94″N | 129°31′28.67″E | 3.8 | 1,836 | |||
| 92 | Oryu, Gampo-eup, Gyeongju-si, Gyeongsangbuk-do | P | 35°50′11.65″N | 129°31′08.14″E | 2.4 | 1,691 | |||
| 93 | Jeonchon, Gampo-eup, Gyeongju-si, Gyeongsangbuk-do | P | 35°47′24.76″N | 129°29′40.49″E | 3.5 | 6,433 | |||
| 94 | Haseo, Yangnam-myeon, Gyeongju-si, Gyeongsangbuk-do | P | 35°40′43.25″N | 129°28′07.49″E | 3.2 | 2,860 | |||
| 95 | Dangsa, Buk-gu, Ulsan-si | P | 35°35′02.82″N | 129°27′30.68″E | 3.5 | 937 | |||
| 96 | Mipo, Dong-gu, Ulsan-si | P | 35°32′52.65″N | 129°27′18.82″E | 2.8 | 58 | |||
| 97 | Ilsan, Dong-gu, Ulsan-si | P | 35°29′56.98″N | 129°26′02.13″E | 2.4 | 7,134 | |||
| 98 | Ilsan, Dong-gu, Ulsan-si | WS | 35°29′49.13″N | 129°26′04.84″E | 3.2 | 3,933 | |||
| 99 | Bangeo, Dong-gu, Ulsan-si | P | 35°28′50.46″N | 129°25′53.66″E | 1.2 | 2,618 | |||
| 100 | Daesong, Seosaeng-myeon, Ulju-gun, Ulsan-si | P | 35°21′18.92″N | 129°21′12.05″E | 2.4 | 459 | |||
| 101 | Nasa, Seosaeng-myeon, Ulju-gun, Ulsan-si | P | 35°21′19.44″N | 129°20′27.19″E | 2.0 | 4,842 | |||
| 102 | Sinam, Seosaeng-myeon, Ulju-gun, Ulsan-si-si | P | 35°20′49.24″N | 129°19′35.71″E | 2.5 | 6,082 | |||
| 103 | Gilcheon, Jangan-eup, Gijang-gun, Busan-si | P | 35°19′33.89″N | 129°17′05.42″E | 2.4 | 30 | |||
| 104 | Wollae, Jangan-eup, Gijang-gun, Busan-si | P | 35°19′30.95″N | 129°16′39.95″E | 2.8 | 2,014 | |||
| 105 | Imnang, Jangan-eup, Gijang-gun, Busan-si | P | 35°19′13.82″N | 129°16′01.56″E | 3.2 | 2,612 | |||
| 106 | Icheon, Ilgwang-eup, Gijang-gun, Busan-si | P | 35°16′16.06″N | 129°14′44.52″E | 4.3 | 9,599 | |||
| 107 | Hak, Ilgwang-eup, Gijang-gun, Busan-si-si | WS | 35°15′34.24″N | 129°14′23.54″E | 4.5 | 31,524 | |||
| 108 | Jukseong, Gijang-eup, Gijang-gun, Busan-si | P | 35°14′15.01″N | 129°14′38.42″E | 1.8 | 1,566 | |||
| 109 | Daebyeon, Gijang-eup, Gijang-gun, Busan-si | WS | 35°13′05.04″N | 129°13′44.15″E | 1.5 | 3,687 | |||
| 110 | Daebyeon, Gijang-eup, Gijang-gun, Busan-si | WS | 35°13′03.05″N | 129°16′40.35″E | 1.8 | 299 | |||
| 111 | Sirang, Gijang-eup, Gijang-gun, Busan-si | P | 35°11′47.75″N | 129°13′33.34″E | 3.2 | 415 | |||
The depth and area of * and ** were cited from FIRA 2015 and Park et al. 2020, respectively.
3. 결과 및 고찰
본 조사 결과 동해 연안에 서식하는 거머리말속(genus Zostera) 잘피는 거머리말(Z. marina), 왕거머리말(Z. asiatica), 수거머리말(Z. caulescens)과 포기거머리말(Z. caespitosa)이 관찰되었다. 종별 출현 빈도는 동해 연안 잘피 서식지 111개소 중 거머리말이 90개소로 81.1%를 차지하였고, 나머지 수거머리말 10개소, 왕거머리말 8개소와 포기거머리말 3개소로 나타났다(Fig. 2a). 동해 연안 거머리말속 잘피 총면적은 1,591,350 m2이었고, 종별 서식 면적은 거머리말 962,397 m2 (60.5%), 왕거머리말 363,524 m2 (22.8%), 수거머리말 261,918 m2 (16.5%)와 포기거머리말 3,511 m2 (0.2%) 순으로 나타났다(Fig. 2b).
잘피 종에 따른 출현 장소별 서식 면적도 차이를 보였다(Fig. 3a). 종별 서식지의 최소 면적과 최대 면적의 차이는 왕거머리말, 포기거머리말과 수거머리말이 각각 77배, 6배와 82배의 차이가 나타난데 비해 거머리말은 그 차이가 8,289배(30~248,657 m2)에 이르렀다. 이는 거머리말 서식지 90개소 중 84개소(93%, 총 458,494 m2)가 파도로부터 보호받을 수 있는 항 내에 위치하여 좁은 면적을 보인데 비해 6개소(7%, 총 503,904 m2)는 파도가 약한 해역의 항 외에서 넓은 면적으로 생육할 수 있었기 때문일 것이다. 특히, 포항시 월포리의 파도가 약한 항 외에 자리잡은 거머리말 서식지는 동해안 전체 거머리말 면적의 25.8%를 차지하고, 드론과 HD 카메라를 이용한 수심측량에서도 잘피 출현이 확인되었다(Kim et al. 2020).
본 조사에서 거머리말속 잘피 서식지 유형은 항 내(77.5%), 파랑에너지가 비교적 낮은 항 외(15.3%)와 개방된 연안 해역(7.2%)이었고, 잘피 종에 따라 서식지 유형이 구별되었다(Table 1). 항 내의 파랑에너지가 약한 곳에는 거머리말(93%)과 포기거머리말(67%)이 주로 출현하였고, 파랑에너지가 비교적 약한 항 외에는 수거머리말(100%)이 서식하는데 반해, 왕거머리말(100%)은 개방된 연안 해역에 서식하지만 파랑에너지의 영향이 적은 비교적 깊은 수심에 서식하고 있었다. 이전 연구에서 동해안 거머리말속 잘피의 생육 환경과 성장 특성, 서식지 유형과 서식 면적이 제시되었지만(Lee et al. 1999; Lee et al. 2002a; Kim et al. 2014; Park et al. 2016), 동해 연안의 전반적인 거머리말속 잘피 면적에 대한 정보는 알려지지 않았다. 거머리말, 포기거머리말과 수거머리말은 우리나라 동·서·남해안 전역에 출현하고 있고, 특히 거머리말은 남해안에 넓은 초원을 이루며 서식하고 있다(Lee and Lee 2003). 포기거머리말은 남서해안에서 조류가 잔잔한 내만이나 항 내에 거머리말과 서식지를 공유하고 나타나는데(Yoon and Kim 2021), 동해안에서는 파랑에너지로부터 보호되는 항 내에 서식지의 대부분(91.5%)이 위치하고 있었다. 동해안의 수거머리말은 남서해안과 유사하게 파랑에너지가 감소되지만 조류의 영향이 있는 환경에 출현하였으며(Lee et al. 2002b), 특히 포항시 죽천리에서 동해안 최대 규모의 수거머리말 서식지(15 ha)가 확인되었다.
잘피 서식지의 수심도 종에 따라 차이가 나타났다(Fig. 3b). 거머리말과 포기거머리말의 평균 출현 수심은 각각 2.5±0.1 m (0.8~4.3 m)와 3.0±1.5 m (1.5~5.0 m)로 포기거머리말이 조금 더 깊은 수심에 나타났는데, 이는 남서해안에서와 유사하다(Lee et al. 2001). 왕거머리말과 수거머리말의 평균 수심은 각각 12.2±0.9 m (9.0~14.0 m)와 12.0±3.9 m (3.2~22.0 m)로 다른 잘피종에 더해 더 깊은 수심에서 관찰되었다. 수거머리말의 출현 수심은 동해안 내륙 연안(3.5~6.5 m)과 남서해안(3.0~6.5 m; Lee et al. 2002b)에서 서로 유사하였으나, 비교적 해수의 투명도가 높고 수심 경사가 가파른 울릉도 해역에서는 현저히 깊은 수심(16.4~22.0 m)에서 출현하였다(Park et al. 2020).
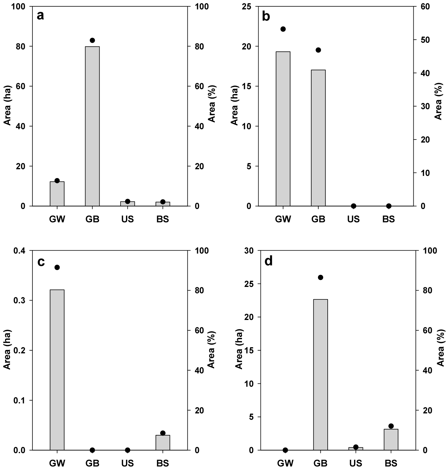
지역별 거머리말속 잘피 서식 면적은 경북(1,195,092 m2, 75.1%)이 가장 넓었고, 다음으로 강원도(318,449 m2, 20.0%), 부산(51,746 m2, 3.3%)과 울산(26,063 m2, 1.6%) 순이었다(Fig. 4). 종별 분포를 보면, 거머리말은 경북(798,308 m2, 82.9%), 강원(122,036 m2, 12.7%), 울산(22,130 m2, 2.3%)과 부산(19,923 m2, 2.1%)을 포함한 동해 전역의 항이나 파도가 약한 해역에 나타났다(Fig. 4a). 개방된 해안의 깊은 수심에 서식하며 비교적 낮은 수온에서 성장이 왕성한 왕거머리말(Park et al. 2016)은 강원(193,201 m2, 53.1%)과 경북(170,233 m2, 46.9%)에서 관찰되었다(Fig. 4b). 포기거머리말은 강원도의 항 내(3,212 m2, 91.5%)와 부산의 파도가 약한 항 외(299 m2, 8.5%)에서 거머리말 서식지와 인접하게 출현하였다(Fig. 4c). 수거머리말은 경북(226,461 m2, 86.5%), 부산(31,524 m2, 12.0%)과 울산(3,933 m2, 1.5%)의 파도가 약한 항 외에 출현하였다(Fig. 4d).
거머리말속 잘피는 우리나라 전역에 가장 넓게 분포하고 있는 잘피이지만, 지금까지 동해 연안의 분포 현황에 대한 자료는 매우 부족하다(Park et al. 2020). 잘피 분포 현황 및 면적을 파악하는 것은 잘피 자원 관리를 위한 선제적 요소이다. 잘피 분포 면적을 측정하는 방법은 매핑 규모, 서식 환경과 수심에 따라 다양한 방법이 사용되고 있다. 분포 면적 측정을 위한 매핑 규모는 일반적으로 1 ha 미만, 1 ha~1 km2, 1~100 km2과 100 km2 이상 4단계로 구분되고, 서식지의 탁도, 수심 등에 따라 측정 가능성, 비용과 효율성을 고려하여 잠수 또는 도보 조사, 실시간 견인 비디오 카메라, 디지털 항공 사진, 위성 이미지 분석 등의 방법을 활용하고, 모든 조사 방법은 현장 확인이 필수적이다(Mckenzie et al. 2001; Krause-Jensen et al. 2004). 이전 연구에서 비교적 잘피 서식지 면적이 크고(>1 ha), 수심이 낮은(<5 m) 남해안의 거머리말 분포 현황의 조사에 수중음향, 드론과 위성 이미지 분석 방법을 활용한 사례가 있다(Kim et al. 2008; Kim et al. 2012; Yeo et al. 2022). 이번 조사에서 해안의 거머리말속 잘피는 주로 소형 분포 면적(<1 ha, 78%)이었고, 왕거머리말과 일부 수거머리말은 깊은 수심(>10 m)에 서식하므로 잠수 조사 또는 실시간 비디오 카메라 방법이 적합할 수 있다. 그러나 정성 및 정량적 분포 현황을 더 자세하게 확인하기 위하여 지역어촌계의 설문조사를 바탕으로 잘피 출현 유무를 확인한 후 직접 스노클링과 잠수 조사를 통해 정보를 수집하였다.
거머리말, 왕거머리말, 수거머리말과 포기거머리말은 해양생태계 보전 및 관리에 관한 법률에 의하여 해양보호생물로 지정되어 있고, IUCN 적색 목록에 등재된 보호종이다. 특히, 왕거머리말은 거머리말, 수거머리말, 포기거머리말과 달리 동해안에서만 관찰되고 있어 서식지 보존 가치가 높은 종이다. 또한, 울릉도 연안은 해양생태계보호구역으로 지정되어 있으며, 수거머리말 군락지의 대부분(83%)을 차지하고 있는 중요한 곳으로 우리나라의 가장 깊은 수심에 서식하는 잘피라는 특이성을 가지고 있어 이 군락의 동향에 대한 지속적인 관찰과 연구가 필요하다.
잘피 서식지는 국제적으로 인정받는 대표적인 해양 탄소흡수원으로서 우리나라에서는 2030 국가 온실가스 감축목표에서 잘피가 주요 감축 수단으로 반영되었다. 이러한 감축효과를 국가 온실가스 인벤토리에 정확하게 반영하기 위한 국내 잘피 서식환경 적합 계수가 연안습지 부문 국가 고유계수로 등록·공표 되었다(GIR 2023). 잘피 서식지 탄소 흡수계수에 의하면 잘피 서식지의 토양유기탄소 흡수계수는 0.45 tC/ha·year이고 토양탄소 저장량은 94 tC/ha으로 보고되어(Kim et al. 2022) 이를 토대로 동해안 잘피 서식지 총 면적 159 ha를 계산하면 토양유기탄소 흡수량은 연간 71.55 tC/year이고, 토양탄소 저장량은 14,946 ton이었다. 또한 잘피군락은 해양 탄소흡수원으로서 기후변화적 관점뿐만 아니라, 연안 생태계의 종다양성 유지, 정화 및 수산자원의 증대에 중요한 역할을 하므로 기후·생태·경제적 측면의 다양한 관점에서 이들 군락의 보호 정책을 수립하여야 한다(Fourqurean et al. 2012; Macreadie et al. 2021). 서식 환경의 측면에서 동해안은 남해안보다 해안선이 단조롭고 파랑에너지가 높아, 동해안에 서식하는 92.8%의 잘피가 항 내 또는 파랑에너지가 비교적 낮은 항 외부에 국한해서 서식하고 있어 잘피군락을 잘 보전하기 위해서는 무분별한 항만 개발 또는 간척사업은 자재 할 필요가 있다고 판단된다.
4. 결론
강원도 고성군부터 부산시 기장군까지 우리나라 동해 연안의 거머리말속(genus Zostera) 잘피 분포 현황을 지역 어촌계원의 설문조사를 바탕으로 잘피 출현 유무를 확인 후, 도보 조사, 스노클링과 선박을 이용한 스쿠바다이빙 방법으로 조사하였다. 동해 연안에는 거머리말(Z. marina), 왕거머리말(Z. asiatica), 수거머리말(Z. caulescens)과 포기거머리말(Z. caespitosa)이 출현하였다. 거머리말속 잘피 총면적은 1,591,350 m2이었고, 종별 서식 면적은 거머리말 962,397 m2 (60.5%), 왕거머리말 363,524 m2 (22.8%), 수거머리말 261,918 m2 (16.5%)와 포기거머리말 3,511 m2 (0.2%) 순으로 나타났다. 지역별 거머리말속 잘피 서식면적은 경북(1,195,092 m2, 75.1%)이 가장 넓었고, 다음으로 강원도(318,449 m2, 20.0%), 부산(51,746 m2, 3.3%)과 울산(26,063 m2, 1.6%) 순이었다. 거머리말과 포기거머리말은 주로 파랑에너지가 낮은 항 내의 각각 2.5±0.1 m와 3.0±1.5 m의 비교적 낮은 수심에 서식하였다. 수거머리말은 파랑에너지가 비교적 낮은 항 외의 12.0±3.9 m 수심에 서식하였고, 울릉도 해역의 수거머리말이 동해안 내륙 연안 수거머리말보다 현저히 깊은 수심(18.7±1.3 m)에서 관찰되었다. 왕거머리말은 개방된 해역에 서식하나 파랑에너지의 영향을 적게 받을 수 있는 비교적 깊은 수심(12.2±0.9 m)에 서식하는 것으로 확인되었다. 거머리말속 잘피 서식지 유형은 항 내(77.5%), 파랑에너지가 비교적 낮은 항 외(15.3%)와 개방된 해역(7.2%)이었다. 동해안 잘피 서식지가 해양탄소 흡수원으로서 기여하고 있으며, 총 면적 159 ha을 토대로 계산하면 토양유기탄소 흡수량은 71.55 tC/year이고, 토양탄소 저장량은 14,946 ton이었다. 본 조사 결과는 동해연안 거머리말속 잘피 보전과 관리에 기초적인 자료를 제공할 것이다.






